Biotic Pump Q&A #3: Bringing Water to Drier Landscapes
On the positive and negative roles of human interventions
I am very grateful to readers for their feedback, comments, and questions. Today, we consider two commentaries from opposite hemispheres: one from Australia and one from the U.S. prairie. We begin with the role of human impact in Australia’s historical drying and then turn to whether drying in North America can be reversed through human intervention. As you will see, these two questions are closely related.
The Australian Monsoon Enigma
The first insightful commentary comes from Jane Morton, as communicated by David Maher from Rehydrate Earth, Australia, who also did the literature compilation:
I would like to say how highly I value your work. It seems to me that the concept of the biotic pump is one of the most important scientific insights for explaining climate and the functioning of ecosystems, and I try, whenever possible, to introduce Australian scientists and members of the climate movement to it. I also follow closely the research on the possible direct cooling effect of forests.
I would like to note one small point that may be more about the way it is presented than about the substance itself. In several of your talks you refer to the Johnson et al. (1999) study on emu eggshells as evidence of a dramatic change in vegetation in Australia. For example, this appears at about the 44-minute mark in this talk.
The difficulty I encounter when discussing your work here is that this particular study is debated within palaeoecology, and in Australia it can also be politically sensitive, since it is sometimes interpreted as claiming that traditional Aboriginal land-management practices led to ecological collapse.
As a result, critics sometimes focus specifically on this reference rather than discussing the much stronger aspects of your argument concerning the connections between vegetation and precipitation and the associated atmospheric dynamics. In practice this often becomes an unnecessary distraction.
I may be mistaken, but it seems to me that the central point you are making does not actually depend on this particular study, since there is now a substantial body of evidence showing that vegetation has a strong influence on precipitation and atmospheric circulation.
Here is a short note reviewing part of the relevant literature — it may possibly be useful:
If you have the time, I would be very interested to hear your thoughts on this, because I try to represent your work as accurately as possible when discussing it with people here.
In any case, thank you again for the outstanding work you have done on this topic. I consider these ideas extremely important and try to help ensure that they are taken seriously here in Australia.
Thank you very much for your kind words and interest in our work!
I want to explain first why possible human links to Australian drying matter. The biotic pump concept proposes that natural vegetation can strengthen the terrestrial water cycle by drawing atmospheric moisture inland from the ocean. If so, the disappearance or recovery of natural vegetation, together with the associated changes in rainfall and runoff, can serve as a real-world test of the theory. But such a test is only clean when these changes are not entangled with a larger geophysical shift in climate. Otherwise, it becomes hard to tell what is biotic and what is geophysical.
Evidence in support of the biotic pump comes from three main cases where these influences can, to a substantial degree, be told apart. The first is the Amazon rainforest. The Amazon appears to set up its own rainy season well before favorable geophysical conditions arrive, that is, before the Intertropical Convergence Zone reaches the region. Because the ocean covers most of Earth and supplies most evaporation, the near-equatorial rainfall belt normally follows the Sun from one hemisphere to the other. But the Amazon moves earlier. By producing new leaves, intensifying transpiration, and moistening the air, it starts drawing moisture inland ahead of the expected seasonal schedule. You can read more about these processes and their study in The Amazon's Seasonal Secret from NASA.
Meridional distribution of zonal winds, vertical air motion in the major circulation cells (Hadley, Ferrel, and Polar), sea level pressure, and precipitation. The seasonally shifting geophysical precipitation peak associated with the Intertropical Convergence Zone is highlighted in yellow. Source: Makarieva and Gorshkov 2015.
The second line of evidence comes from the Eurasian boreal forest, a remarkable forest belt about seven thousand kilometers long. Its strong seasonality allows us to compare moisture transport when the forest is active with moisture transport when it is dormant, again helping separate biotic effects from geophysical ones. When the forest is dormant, precipitation and runoff fall off sharply from west to east. When it is active, strong inland moisture transport feeds the great Siberian rivers.
The Australian example is another important case in this sequence. Much of the Australian continent lies within the geophysical downwelling zone of the Hadley and Ferrel circulation cells (see the scheme above). Descending air warms and suppresses rainfall. For rain to form, air must rise, allowing the water vapor it contains to cool and condense. These geophysical conditions place important limits on what vegetation can achieve in facilitating the water cycle.
In other words, Australia is a geophysically difficult continent. Ecosystems there must work especially hard to sustain, so to speak, the biotic pump. Conversely, the threshold of stability is lower than in more favorable regions, so the system is more easily disrupted.
It is therefore unsurprising that Australia has experienced repeated periods of wetting and drying in response to large-scale climatic shifts, as shown, for example, by studies of changing water abundance in Lake Eyre. What is remarkable, however, is that after the arrival of the first humans around 50 thousand years ago, drying set in, and the monsoon that had delivered moisture inland never recovered, despite subsequently more favorable geophysical conditions.
Let us take a look at these data from Magee et al. 2004 “Continuous 150 k.y. monsoon record from Lake Eyre, Australia: Insolation-forcing implications and unexpected Holocene failure”:
Figure 3 of Magee et al. 2004. Lake Eyre record of lake level (from Fig. 2), lake area, and lake volume (DeVogel et al., 2004) as proxy for Australian monsoon compared with sea level (Lambeck and Chappell, 2001) and variations in January insolation for 50°N and 20°S (Berger and Loutre, 1991) over past 150 k.y. Playa-floor deflation events, indicative of significant aridity and therefore reduced Australian monsoon, are included only where there is stratigraphic or sedimentologic evidence for deflation. AHD—Australian height datum (mean sea level).
The researchers consider whether the wetter and drier periods can be linked to changes in insolation, but ultimately conclude as follows (with my emphasis):
Regardless of which hemisphere’s insolation exerts the strongest control, the early Holocene phase I lake level was strikingly lower than the levels achieved early in the last interglacial, when sea level and insolation forcing were similar. This contrast is further enhanced by comparison with the last significant lacustrine event, which was related to more effective penetration of monsoon moisture into the continental interior at 65–60 ka (phase III, at 23.5 m relative to AHD), when sea level was much lower and astronomic forcing less favorable than in the Holocene in both hemispheres (Fig. 3). …
There is abundant evidence of substantial reinvigoration of the planetary monsoon in the early Holocene from outside Australia (Carmouze and Lemoalle, 1983; Hoelzmann et al., 2000; Liu and Ding, 1998; Rousseau et al., 2000; Wasson, 1995; Williams et al., 2000) and coeval reactivation of the monsoon along the northern Australian fringe (Nanson et al., 1991; Nott and Price, 1994). We attribute the failure of the Holocene monsoon to penetrate into the Australian interior, as it had done as recently as 65–60 ka, to be related to a change in boundary conditions over the Australian landmass. Decreasing the transfer of moisture from the biosphere to the atmosphere during the monsoon season would inhibit the penetration of monsoon rainfall into the Lake Eyre catchment. A plausible boundary-condition change that could affect the efficiency of landward transfer of monsoon moisture is the large-scale alteration of the biota—by human burning—across the northern half of the continent, as suggested by Johnson et al. (1999) from vegetation changes recorded in the carbon isotopic signature of emu eggshells. However, Kershaw et al. (2003) argued that MIS 3 continent-wide vegetation changes, seen in marine core pollen records, occurred slightly later than reported by Johnson et al. (1999) [we discussed this paper in “What’s Happening with Global Precipitation?” — AM], and may have a more complex cause.
In summary,
Regardless of the hemispheric forcing, the low intensity of the early Holocene Australian monsoon—by comparison with the last interglacial and particularly the last high-level lacustrine event at 65–60 ka when all forcing elements were modest—is an enigma that can be explained by a change in boundary conditions within Australia.
The biotic pump concept can explain this and similar enigmas by showing that, under the same large-scale climatic forcing, drastically different continental water cycles can arise depending on the state of the terrestrial biota.
The Human Controversy
The biotic pump concept can also help address some of the main arguments against the idea that the first humans disrupted native vegetation in Australia and thereby triggered a tipping point that shifted the continent into a much drier state, perhaps irreversibly.
Mooney et al. 2011 in “Late Quaternary fire regimes of Australasia” provide a summary of such arguments as follows (with my emphasis):
The influence of humans in modifying natural fire regimes has been a major feature of the interpretation of charcoal records from the Australasian region. The apparent coincidence of increases in sedimentary charcoal at iconic sites (Lake George, Lynch’s Crater, Darwin Crater) with the arrival of Aboriginal people in Australia, has been attributed to anthropogenic fire (e.g. see Turney et al., 2004). This has led to circular arguments about the relationship between fire and people, including assertions that people arrived on the continent before the last glacial (Jackson, 1999; Singh et al., 1981). Changes in vegetation cover driven by anthropogenic modification of fire regimes have been explicitly invoked as a mechanism for causing aridification of Australia over the past 50-60 ka and for megafaunal extinctions (Miller et al., 2005). This causal association of anthropogenic fire with changes in climate, vegetation or fauna has remained seductive, despite several lines of contrary evidence. This evidence includes major changes in Late Quaternary charcoal records and hence fire prior to the arrival of humans (e.g. ca 130 ka: Singh et al., 1981; Dodson et al., 2005); the fact that a broadly-synchronous transition to more xerophytic vegetation has been found in New Caledonia, a region which was not settled by humans until ca 3000 years ago (Stevenson and Hope, 2005); and modeling evidence that the purported changes in vegetation cover were insufficient to cause a sustained change in Australasian climate (Pitman and Hesse, 2007). We have found no evidence of a change in fire regimes at a continental scale at the time of Aboriginal colonisation of Australia (50 +- 10 ka).
We first note that the fact that fire regimes can be influenced by factors other than humans does not mean that humans cannot have caused particular shifts in those regimes. More importantly, the first humans did not have to burn much of the continent to disrupt its hydrology. Plausibly, upon arrival they settled along the coast and burned only a relatively narrow strip, perhaps 100–200 km inland from the shore.
Kershaw et al. 2003 in “Causes and consequences of long-term climatic variability on the Australian continent” wrote referring to the study of Johnson et al. 1999 (my emphasis):
They further suggest that the opening up of the vegetation through aboriginal burning resulted in reduced moisture interactions between atmosphere and vegetation and consequently a decrease in effectiveness of summer monsoon penetration into the centre of Australia.
This model is effective in explaining why water was more abundant in the interior of Australia during interglacials previous to the Holocene, and may provide a more comprehensive explanation for sustained changes in the Core GC-17 record [a progressive decline of tree species — AM]. However, Core GC-17 is recording changes in coastal rather than inland vegetation, so that the influence of vegetation on inland penetration of the monsoon is not a factor.
This supports the idea that coastal vegetation was disrupted. This alone could have interrupted the moisture flow supporting the remaining inland vegetation, causing dieback without further burning, simply through increased aridity.
Once the continent as a whole ceased to act as a moisture convergence zone, this aridity effect could have spread over distances comparable to the size of the continent itself, perhaps reaching even New Caledonia.
Regarding the argument that models do not show a substantial change in monsoon strength following land-cover change, we note that Pitman and Hesse (2007) already emphasized in the abstract of their study, “The significance of large-scale land cover change on the Australian palaeomonsoon,” that
the limitations implicit in our analytical methods means we cannot conclusively demonstrate that biospheric feedbacks can be ignored.
In “Forests, Water, and Climate: Time for Re-Conceptualization,” I discussed related evidence suggesting that models do not robustly capture changes in air circulation and moisture transport associated with land-cover change.
Furthermore, a very interesting exchange in PNAS in 2016 between German and American researchers concluded that global climate models cannot simulate abrupt changes in monsoon systems unless the forcing changes abruptly as well, and that vegetation feedbacks may be one possible explanation for such abrupt monsoon shifts.
With this, we are now moving from Australia to North America.
Biotic Pump and the Shortgrass Prairie
A while ago, I received two independent but related questions at nearly the same time. One was from Libby Comeaux:
I’m wondering how to evaluate the difference the Rocky Mountain Continental Divide may make, as we have coniferous-dominated forests on the Pacific Ocean side on the West, and on the large land-mass side on the East. I live on the shortgrass prairie ecosystem immediately east of the mountains. Early spring warming - even before late spring snows - can send snow melt down to the shortgrass prairie before farmers can use it, then it runs down streets and pipes to reservoirs too soon. (Of course, much better to soak into healthy soils; we have much work to do) My question is whether biotic pump functions on the slope down from the Continental Divide on the East.
The other was submitted privately:
Hi Anastassia, I have a question about the biotic pump applied to North America. I am curious about the forest dynamics of North America and have been reading “Long-Term Forest Dynamics of the Temperate Zone” by Delcourt and Delcourt to find out how much forest really was here after the glaciers receded and before man intervened (beginning with indigenous people extirpating megafauna and burning the land). Their analysis indicates that at 14,000 ybp the glacier had receded significantly and North America was dominated by boreal forest and mixed deciduous farther south. By 10,000 ybp, the center of the plains had already begun to convert to praire. Now presumably, at 14,000 ybp the same drying of the pacific airmass as it came over the western mountains would have been happening, but the boreal forest was kept intact across the country, maybe thanks to the biotic pump. So there are two questions: First, in this case of the pacific airmass losing its moisture as it goes up and over the mountains - could the action of the biotic pump have counteracted this drying effect? Second - if the biotic pump was counteracting that, then why did the prairie region encroach? I imagine this could have happened as a result of humans degrading the ecosystem with the above mentioned disturbances. Thank you for your time and all of your incredible work that you have done for our understanding of nature.
Let us take a look at those maps in the book “Long-Term Forest Dynamics of the Temperate Zone: A Case Study of Late-Quaternary Forests in Eastern North America” by Paul A. Delcourt and Hazel R. Delcourt, published by Springer in 1987.
We can see that in the late glacial interval there was no prairie, but the whole region was covered by forests: BF, boreal forest; MF, mixed conifer-northern hardwoods forest; DF, deciduous forest; SE, southeastern evergreen forest; SS, sand dune scrab. The prairie (P) appeared four thousand later.
So we are left with two questions. First, could tree cover exist where prairie now dominates under the same climatic conditions? Second, does modern prairie vegetation itself, at least to some extent, enhance moisture convergence into the region?
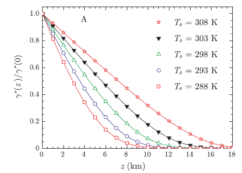
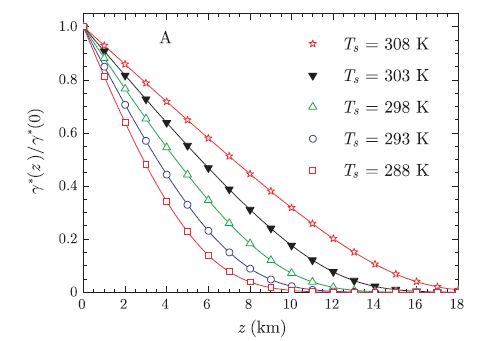
The main geophysical obstacle to moisture convergence is the mountain ridge in the west, standing in the path of the westerlies associated with the Ferrel cell. Yet if the ridge is about 2.5–3 km high, depending on surface temperature, the air can still retain roughly half of its original moisture as it crosses the mountains and descends on the other side. In other words, the moist air rises and rains out, but not completely.
Fig. 2A from Makarieva et al. (2013), showing the fraction of moisture remaining in air at height z relative to its surface value (z = 0) for different surface temperatures. Even at 3 km, a substantial amount of moisture remains in the air.
As this air, only partially depleted of moisture, descends east of the ridge, local vegetation can enrich it with moisture again. This may trigger deep convection, causing the remaining moisture to precipitate locally instead of being blown farther away.
Over land, most rainfall is produced by a relatively small number of strong convective events. According to Liu and Zipser (2015), in “The global distribution of largest, deepest, and most intense precipitation systems,” more than 70% of land precipitation is associated with convective systems whose precipitation columns extend above 7 km. One mechanism by which local vegetation could therefore enhance moisture convergence is by moistening the air sufficiently to trigger local convection.
Delcourt and Delcourt propose the following air-circulation pattern for the period when the region was forest-covered, and for the subsequent period when prairie was present:
Here PA is Pacific Airmass, PFZ is Polar Frontal Zone, MTA is Maritime Tropical Airmass and AA is Arctic Airmass.
Conceivably, the region with stronger convection could also attract greater low-level air convergence from surrounding regions, specifically from the Maritime Tropical airmass (see also this discussion).
To conclude, the answer to both questions is likely yes. The present vegetation probably does not make the situation worse than it would be in its complete absence, while allowing tree vegetation to restore itself in the region, or assisting its recovery, could plausibly shift the region toward a substantially wetter regime.
Ideological Dimension and Outlook
Unfortunately, it is difficult to keep ideology entirely out of scientific narratives. So I understand why the idea that the first humans may have trapped Australia in a dry regime by burning vegetation can feel uncomfortable.
Interestingly, the ideological twist takes a different form in the other hemisphere, in North America. In Australia, the narrative becomes sensitive when the first settlers are, so to speak, accused of excessive burning. In North America, by contrast, Indigenous people are sometimes portrayed as having burned landscapes on a massive scale, and this is presented almost as a model of careful land stewardship. Very unfortunately, such portrayals are then used to justify commercial forest burning and logging.
However, the more careful evidence does not support the idea of extensive burning by Indigenous people. See, for example, Kellett et al. 2023 “Forest-clearing to create early-successional habitats: Questionable benefits, significant costs”).
Generally, I do not think we should give in to a rather primitive form of ideologization, as if this would somehow cast the first humans in a morally negative light. Having arrived in Australia from very different environments, they could hardly have been expected to know in advance how vulnerable its ecosystems were. It is entirely plausible that they disrupted them before such understanding could exist.
Moreover, the idea that humans pushed the landscape into a dry regime by disrupting vegetation also carries a more hopeful implication. It suggests that if native vegetation were allowed to recover, possibly with assistance from modern humans, a much wetter regime might again become physically possible under the same large-scale climatic conditions. If, on the other hand, past changes were not due to humans, there leaves us little agency now.
The image shows the initiation of ecosystem recovery with native tree seedlings in southern Australia (photo by a friend).
Many modern landscapes are degraded to such an extent that ecological succession can no longer begin on its own, because the genetic information needed for recovery — contained in seeds — is missing. In such cases, humans could play a positive ecological role by restoring the missing flow of seeds and ecological information, until the ecosystem regains the capacity for further self-recovery.
Related reading:








I am very skeptical about Indigenous Wisdom/Knowledge. The way I see it is that NONE of us have the knowledge of how to protect and restore a planet being devastated by 8billion greedy humans - Homo locustus. I believe we have to use Science and Debate to find the most appropriate policies. Using any Indigenous Knowledge that harks back to an era when human populations were tiny, when most of our food was consumed where it was grown (not transported to cities 100s and 1000s of kilometers away) and or technologies were much simpler and less powerful is very unlikely to unpack a solution for any of our future challenges.
Thank you for looking into these questions about historical Australian and North American weather, rainfall and vegetation, Anastassia.
I wonder what the sudden decrease in Diesel fuel for heavy-machinery on our fair planet may do in coming years.
I have reason to believe that the suddenness of the current disruption of fossil fuel flows globally is the sharp beginning of a new epoch of less of them, and less of all they are used for, though there may well be a switch to using forests for thermal fuel, also.